▶ 재귀 함수
def hello():
print("Hello world!")
hello() # 자기 자신 호출
hello()
: 함수 안에 함수가 또 있어서 자기 자신을 반복적으로 호출할 수 있는 형태의 함수.
: 자기 자신을 반복적으로 호출하는 만큼 종료 조건이 있어야 된다.
: 문제를 해결하기 위해 자신을 호출하여 문제를 더 작은 하위 문제로 나누는 함수이다.
▷ 팩토리얼 구하기로 재귀 함수 이해하기
- 팩토리얼 : 그 수보다 작거나 같은 모든 양의 정수의 곱
ex) 5! = 5 x 4 x 3 x 2 x 1 = 120
# 팩토리얼 - 재귀 함수
def factorial(n):
if n == 1:
return 1
else:
return n * (n-1)
print(factorial(5))

▷ 재귀 함수 구현하기

→ 먼저, 하위 문제를 찾고 베이스 케이스와 재귀 케이스를 정한다. 이를 토대로 재귀 함수를 작성한다.
→ 피보나치 수열, 리스트 뒤집기, 자릿수 합 등 대표적인 알고리즘 문제들을 재귀 함수와 함께 해결가능하다.
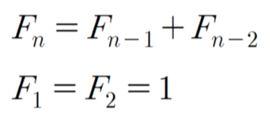
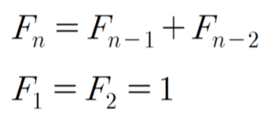
▷ 피보나치 수열 구하기

ex) 피보나치 수 : 1, 1, 2, 3, 5 ,8, 13, 21, ...
# 피보나치 수열 함수
def fib(n):
if n==1 or n==2:
return 1
else:
return fib(n-1) + fib(n-2)
for i in range(1, 100):
print(fib(i), end=",")
실행 결과

실행해 보면 실행 시간이 엄청나게 오래 걸리는 것을 확인할 수 있었다.
그 이유는 n-1과 n-2를 구하기 위해 이전 계산을 계속적으로 반복을 해서 시간이 엄청나게 오래 걸린 것이다.
시간을 단축시키기 위해서는 memoization을 사용해서 결과를 저장해 주면서 계산을 하면 시간을 크게 단축시킬 수 있다 !
# 메모이제이션
memory = {
1 : 1,
2 : 1
}
count = 0
def fibo_memoization(n):
global count
count += 1
if n in memory:
number = memory[n]
else:
number = fibo_memoization(n-1) + fibo_memoization(n-2)
memory[n] = number
return number
fibo_memoization(100)

※ 재귀 함수의 스택 오버플로우 에러 !
재귀 함수를 사용하면 반복적인 작업으로 스택 오버플로우 에러를 신경 써야 되는데 파이썬은 쌓여있는 함수 호출을 1000개로 제한해두고 있다. 그래서 factorial(2000)을 하게 되면 Recursion Error가 발생하기도 한다.
※ 재귀 함수 어려운데 왜 이해해야 하는가 ?
: 재귀 함수를 사용하면 원래 수십 줄이었어야 할 코드도 단 몇 줄로 깔끔하게 줄일 수 있다.
: 문제를 재귀적인 접근 방식으로 해결책을 찾을 수 있다 ! 새로운 사고방식과 문제 해결법이 생기기 때문에 유리하다.
처음에는 반복문으로 할 수 있는 코드를 왜 재귀 함수를 사용해서 써야 하는가 의문이었는데, 재귀 함수의 개념을 잘 이해해 보니 재귀적인 접근 방식으로 해결책을 찾을 수 있음을 배웠다. 재귀 함수의 이해가 문제 해결방식에서 유용하게 사용될 것 같다 !
'BE > Python' 카테고리의 다른 글
| [Python] pandas로 데이터 분석하기 - DataFrame 생성. (0) | 2023.11.17 |
|---|---|
| [Python] Numpy 유용한 함수 (통계 함수) (0) | 2023.11.16 |
| [Python] Numpy란? numpy array 생성하기 (0) | 2023.11.14 |
| [Python] 모듈(module) 사용하기 (1) | 2023.11.13 |
| [Python] f 문자열 포매팅 ( f-string formatting) (0) | 2023.11.08 |
댓글